Functional Failure Analysis Template: Your Essential Guide

D.Tomfoolerylondon 99 views
Functional Failure Analysis Template: Your Essential Guide

Functional Failure Analysis Template: Your Essential Guide

Hey guys! Ever found yourself scratching your head, trying to figure out why something just isn’t working? That’s where functional failure analysis (FFA) comes in super handy. And to make your life even easier, we’re diving deep into functional failure analysis templates. Think of these templates as your trusty sidekick in the world of troubleshooting. This guide will give you a solid understanding of what FFA is, why it’s important, and how a template can streamline the whole process. So, grab your detective hat, and let’s get started!

Understanding Functional Failure Analysis

Let’s kick things off by getting down to brass tacks: * What exactly is functional failure analysis? * In a nutshell, it’s a structured approach to identify and understand the root causes of failures in a system, product, or process. Rather than just treating the symptoms, FFA digs deeper to pinpoint why the failure occurred in the first place. The goal is to prevent similar failures from happening again, saving time, money, and a whole lot of headaches.

Functional failure analysis examines the intended functions of a system and how those functions are failing. For example, if you have a coffee machine that’s supposed to brew coffee but isn’t, FFA would look at each step of the brewing process – heating the water, pumping the water through the coffee grounds, and dispensing the coffee – to see where things are going wrong. Is the water not heating up? Is the pump broken? Is there a blockage somewhere? By methodically analyzing each function, you can isolate the exact cause of the failure.

Why is functional failure analysis so crucial? Well, imagine you’re a doctor treating a patient. You wouldn’t just give them medicine for a fever without trying to figure out what’s causing the fever, right? Similarly, in engineering and manufacturing, you need to understand the why behind the failure. This understanding enables you to implement effective solutions, improve designs, and enhance overall reliability. By identifying the root causes, you can prevent future failures, leading to increased efficiency, reduced downtime, and improved product quality. Plus, it helps in making informed decisions about maintenance, repairs, and upgrades.

Think of FFA as a proactive measure rather than a reactive one. Instead of waiting for things to break down and then scrambling to fix them, FFA allows you to anticipate potential problems and take steps to prevent them. This is especially important in industries where failures can have serious consequences, such as aerospace, healthcare, and transportation. In these fields, a single failure can lead to catastrophic outcomes, so a thorough and systematic approach to failure analysis is absolutely essential. Also, using a structured functional failure analysis helps ensure that all possible causes are considered and that no stone is left unturned. This reduces the risk of overlooking critical factors and increases the likelihood of finding the true root cause of the failure.

The Benefits of Using a Functional Failure Analysis Template

Alright, now that we know what FFA is and why it’s important, let’s talk about why using a template is a game-changer. A functional failure analysis template provides a structured framework for conducting your analysis. Instead of starting from scratch each time, you have a pre-designed format that guides you through the process. This ensures consistency, completeness, and efficiency.

One of the biggest advantages of using a template is that it helps you stay organized. Failure analysis can involve a lot of information – symptoms, potential causes, test results, corrective actions, and so on. A template provides a clear and logical way to record and organize all this data, making it easier to track progress and communicate findings. Plus, it helps ensure that all relevant information is captured, reducing the risk of overlooking important details. With a well-organized template, you can quickly see the big picture and identify patterns that might otherwise be missed.

Another key benefit is that templates promote consistency. When multiple people are involved in failure analysis, using a standardized template ensures that everyone is following the same process and using the same terminology. This reduces confusion, improves collaboration, and makes it easier to compare results across different analyses. Consistency is especially important in large organizations where different teams may be working on similar issues. By using a common template, they can share their findings and learn from each other’s experiences.

Templates also save you time and effort. Instead of spending hours creating a new document from scratch, you can simply grab a template and start filling in the blanks. This frees up your time to focus on the actual analysis, rather than getting bogged down in administrative tasks. Moreover, a good template will include prompts and checklists to guide you through each step of the process, ensuring that you don’t miss anything important. This is especially helpful for those who are new to failure analysis or who don’t perform it regularly. Ultimately, using a functional failure analysis template helps streamline the entire process, making it faster, easier, and more effective.

Furthermore, templates can be customized to fit your specific needs. While a generic template provides a good starting point, you can always tailor it to match the unique requirements of your industry, organization, or project. For example, you might add specific fields for recording data that are relevant to your particular type of equipment or process. Or you might modify the template to align with your company’s internal procedures and reporting standards. The key is to find a template that works well for you and then adapt it as needed to make it even more useful.

Key Components of a Functional Failure Analysis Template

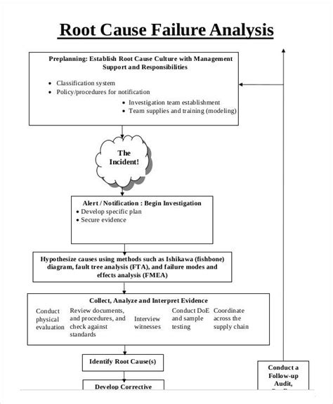
So, what exactly goes into a functional failure analysis template ? While the specific components may vary depending on the context, there are some key elements that are commonly included. Let’s break them down:

  1. System/Component Identification: This section identifies the system, subsystem, or component being analyzed. Include details like the name, model number, serial number, and any other relevant identifying information. This helps to clearly define the scope of the analysis and ensures that everyone is on the same page.

  2. Function Description: Here, you describe the intended function of the system or component. What is it supposed to do? How is it supposed to work? Be as specific as possible. This provides a baseline for comparison when you start looking at failures. If the coffee machine is supposed to brew coffee, this section would detail each step of that process.

  3. Failure Description: This is where you describe the failure itself. What happened? When did it happen? How often does it happen? What are the symptoms? Be as detailed and objective as possible. Avoid making assumptions or jumping to conclusions at this stage. Stick to the facts. For example, “The coffee machine does not dispense coffee when the ‘brew’ button is pressed.”

  4. Potential Causes: This section lists all the possible causes of the failure. Brainstorm as many ideas as you can, even if they seem unlikely. Don’t rule anything out at this point. Use techniques like fault tree analysis or fishbone diagrams to help you generate ideas. This is where you might list things like a broken pump, a clogged filter, or a faulty heating element.

  5. Testing and Verification: This is where you describe the tests you performed to verify the failure and identify the root cause. What tests did you run? What were the results? Did the tests confirm any of the potential causes? Be sure to document your testing procedures and results thoroughly. For example, “We tested the pump using a multimeter and found that it was not receiving power.”

  6. Root Cause Analysis: Based on your testing and verification, identify the most likely root cause of the failure. This is the underlying reason why the failure occurred. Be specific and provide evidence to support your conclusion. For example, “The root cause of the failure is a broken wire in the pump circuit.”

  7. Corrective Actions: This section describes the actions you took to correct the failure. What did you do to fix the problem? Did the corrective actions resolve the failure? Be sure to document the steps you took and the results you achieved. For example, “We replaced the broken wire in the pump circuit, and the coffee machine now brews coffee correctly.”

  8. Preventive Actions: This is where you describe the actions you will take to prevent similar failures from happening in the future. What steps can you take to improve the design, manufacturing process, or maintenance procedures? Be proactive and think about how you can prevent future problems. For example, “We will use higher-quality wiring in future coffee machines to prevent similar failures.”

  9. Conclusion and Recommendations: Summarize your findings and make recommendations for further action. What did you learn from this analysis? What steps should be taken to improve the overall reliability of the system or component? This is your opportunity to share your insights and make a positive impact.

Tips for Using a Functional Failure Analysis Template Effectively

Okay, so you’ve got your functional failure analysis template ready to go. But how do you make sure you’re using it effectively? Here are a few tips to keep in mind:

  • Be Thorough: Don’t rush through the process. Take the time to gather all the relevant information and consider all the possible causes of the failure. The more thorough you are, the more likely you are to find the true root cause.
  • Be Objective: Avoid making assumptions or jumping to conclusions. Stick to the facts and let the data guide you. Don’t let your biases or preconceived notions cloud your judgment.
  • Be Collaborative: Failure analysis is often a team effort. Involve people from different departments and with different areas of expertise. This will bring a wider range of perspectives and ideas to the table.
  • Document Everything: Keep detailed records of your analysis, including the symptoms, potential causes, test results, corrective actions, and preventive actions. This will help you track your progress and learn from your mistakes.
  • Review and Update: Failure analysis is an iterative process. Don’t be afraid to revisit your analysis and update it as you learn more. The more you learn, the better equipped you will be to prevent future failures.

By following these tips, you can ensure that you’re using your functional failure analysis template to its full potential and making a real difference in improving the reliability of your systems and processes. Also, remember that failure analysis is not just about fixing problems; it’s also about learning and improving. Each failure is an opportunity to learn something new and to make your systems and processes even better. Embrace this opportunity and use it to drive continuous improvement in your organization.

Real-World Examples of Functional Failure Analysis

To really drive home the importance and practicality of functional failure analysis, let’s look at a couple of real-world examples where FFA and its templates shine.

Example 1: Automotive Industry

Imagine a car manufacturer is facing a recurring issue with their anti-lock braking system (ABS). Drivers are reporting that the ABS sometimes fails to engage during emergency braking, leading to potential accidents. Using a functional failure analysis template , the engineers would systematically investigate each component and function of the ABS:

  • Function: The ABS should detect wheel lockup during braking and modulate brake pressure to prevent skidding.
  • Failure: The ABS fails to engage during emergency braking.
  • Potential Causes: Faulty wheel speed sensors, malfunctioning hydraulic control unit, software glitches, wiring issues.

Through testing and verification, they discover that the wheel speed sensors are occasionally providing inaccurate readings due to electromagnetic interference. The corrective action involves shielding the sensors to prevent interference. The preventive action includes improving the sensor design and implementing stricter testing procedures during manufacturing. By using the FFA template, the manufacturer not only resolves the immediate problem but also prevents future occurrences, enhancing vehicle safety.

Example 2: Aerospace Industry

Consider an airline experiencing frequent failures in the navigation system of one of its aircraft. These failures can lead to flight delays and increased maintenance costs. Using a functional failure analysis template :

  • Function: The navigation system should accurately determine the aircraft’s position and guide it along the flight path.
  • Failure: The navigation system intermittently provides incorrect position data.
  • Potential Causes: GPS signal interference, faulty inertial measurement unit (IMU), software bugs, antenna problems.

After thorough investigation, they find that the IMU is occasionally drifting due to temperature fluctuations within the avionics bay. The corrective action involves improving the insulation and ventilation of the avionics bay to maintain a stable temperature. The preventive action includes upgrading the IMU to a more robust model and implementing more frequent calibration checks. In this case, the use of FFA template ensures the reliability of critical navigation systems, preventing potential safety hazards and reducing operational costs.

Choosing the Right Functional Failure Analysis Template

Selecting the right functional failure analysis template is crucial for ensuring that your analysis is effective and efficient. With numerous templates available, it’s important to consider several factors to find the one that best suits your needs. Here are some tips to guide you:

  1. Understand Your Needs: Before you start searching for a template, take the time to understand your specific requirements. What type of system or process are you analyzing? What are the common failure modes? What data do you need to collect? The more clearly you define your needs, the easier it will be to find a template that meets them.

  2. Look for Comprehensive Templates: A good template should cover all the key components of failure analysis, including system identification, function description, failure description, potential causes, testing and verification, root cause analysis, corrective actions, and preventive actions. It should also provide clear prompts and guidance to help you through each step of the process.

  3. Consider Customization Options: While a generic template can be a good starting point, you may need to customize it to fit your specific needs. Look for templates that are easy to modify and adapt. This might involve adding or removing fields, changing the layout, or incorporating your company’s branding.

  4. Evaluate Ease of Use: The template should be easy to understand and use, even for those who are not experienced in failure analysis. Look for templates with clear instructions, helpful examples, and a user-friendly interface. The goal is to make the analysis process as smooth and efficient as possible.

  5. Check for Compatibility: Make sure the template is compatible with the software you use. Some templates are designed for specific programs, such as Microsoft Excel or Google Sheets, while others are available in more general formats like PDF or Word. Choose a template that you can easily access and edit.

By considering these factors, you can choose a functional failure analysis template that is well-suited to your needs and helps you conduct effective and efficient failure analyses. Remember, the right template can make a big difference in the success of your failure analysis efforts.

Conclusion

So there you have it, folks! A comprehensive look at functional failure analysis templates. By now, you should have a solid grasp of what FFA is, why it’s important, the benefits of using a template, and how to choose the right one for your needs. Remember, a functional failure analysis template is more than just a document; it’s a tool that can help you prevent failures, improve reliability, and save time and money. Embrace it, customize it, and use it to its full potential. Happy troubleshooting!