Master Lagrange Multipliers: Constrained Optimization

D.Tomfoolerylondon 17 views
Master Lagrange Multipliers: Constrained Optimization

Master Lagrange Multipliers: Constrained Optimization

Hey there, future optimization wizards! Ever found yourself staring at a problem where you need to find the best possible outcome, but there’s a catch? Like, you want to maximize the volume of a box, but you’re stuck with only so much cardboard? Or maybe you’re trying to minimize production costs, but you have to meet a certain output quota? Well, guess what, guys? You’re dealing with constrained optimization problems, and that’s exactly where the magic of Lagrange Multipliers swoops in to save the day! This incredible mathematical tool, named after the brilliant mathematician Joseph-Louis Lagrange, provides an elegant and powerful method to solve these tricky scenarios. It’s not just some abstract concept for mathematicians; it’s a fundamental technique widely used in engineering, economics, machine learning, physics, and even in fields like finance. Understanding Lagrange Multipliers isn’t just about passing a math exam; it’s about unlocking a whole new way of thinking about efficiency, limits, and finding optimal solutions within boundaries. We’re going to dive deep, break down the intimidating jargon, and show you exactly how these multipliers work their wonders, making seemingly complex problems understandable and solvable. So, get ready to explore the fascinating world where calculus meets real-world constraints, because mastering Lagrange Multipliers is a game-changer for anyone looking to optimize processes and make better decisions. We’ll cover the core intuition, the mathematical setup, and walk through some practical examples together, ensuring you leave here not just knowing what they are, but how to use them effectively. Trust me, by the end of this, you’ll be pretty confident in tackling those optimization challenges like a pro, all thanks to the power of Lagrange Multipliers and their ability to pinpoint those elusive sweet spots in complex situations.

What Are Lagrange Multipliers, Really?

So, what are Lagrange Multipliers at their core, and why do we even need them? Imagine you’re climbing a mountain, and you want to find the highest point. That’s a simple unconstrained optimization problem – just find the peak! But what if someone tells you, “Hey, you can only walk along this specific path carved into the side of the mountain”? Now, you can’t just go to the absolute peak; you have to find the highest point on that path . That, my friends, is a constrained optimization problem, and it’s exactly what Lagrange Multipliers help us solve. This method is all about finding the local maxima and minima of a function, subject to one or more equality constraints. Essentially, it helps us navigate the landscape of a function while staying strictly on a predefined boundary or surface. The core idea, the intuition behind it, is actually quite elegant and visual. Think about a function’s contour lines – these are lines connecting points of equal value, like elevation lines on a topographic map. When you’re trying to optimize a function subject to a constraint, you’re looking for the point where the constraint curve (our path on the mountain) just touches one of the contour lines of the function you’re trying to optimize, without crossing it. At this optimal point, the tangent line to the constraint curve must be parallel to the tangent line of the objective function’s contour. Mathematically, this means their gradients are parallel. For those not deep into calculus, a gradient is simply a vector that points in the direction of the steepest ascent of a function. So, if two functions’ gradients are parallel at a certain point, it means they are both pointing in the same (or opposite) direction, signifying that they are tangent to each other at that specific point. This tangency condition is the geometric heart of Lagrange Multipliers . The “Lagrange multiplier” itself, often denoted by the Greek letter lambda (λ), is the scalar factor that relates these parallel gradients. It quantifies how much the optimal value of your function changes if you slightly relax or tighten your constraint. Pretty neat, right? It provides a crucial piece of information about the sensitivity of your optimal solution to changes in the constraint, which is incredibly valuable in real-world scenarios. So, in essence, we’re not just finding a point; we’re understanding the relationship between the objective function and its constraints at that optimal point. This allows us to systematically search for and identify those optimal values, whether they are maximums or minimums, under specific, limiting conditions. It’s a foundational concept for anyone serious about understanding the interplay between objectives and the limitations placed upon them, paving the way for advanced studies in optimization and decision-making.

The Mathematical Framework: Setting Up the Lagrangian

Alright, let’s get into the nitty-gritty and see how we actually set up these problems using Lagrange Multipliers . Don’t worry, it’s not as scary as it sounds! The process involves constructing a new function, creatively called the Lagrangian function . This function elegantly combines our original objective function (the thing we want to maximize or minimize) with our constraint function(s) using our special friend, the Lagrange multiplier (λ). Let’s say you have an objective function, f(x, y, z, ...) , that you want to optimize, and it’s subject to a constraint g(x, y, z, ...) = c , where c is some constant. The trick is to rewrite the constraint so it equals zero, like g(x, y, z, ...) - c = 0 . Once you have that, the Lagrangian function, usually denoted by L , is formed like this: L(x, y, z, ..., λ) = f(x, y, z, ...) - λ * (g(x, y, z, ...) - c) . Some textbooks might use a plus sign instead of a minus for λ, but the outcome is mathematically equivalent; it just flips the sign of λ itself. The key is that λ is our Lagrange Multiplier , and it’s a new variable introduced into the problem. The next big step, guys, is to find the critical points of this new Lagrangian function. And how do we do that? You guessed it: by taking partial derivatives with respect to each of the original variables ( x, y, z, ... ) and with respect to λ , and then setting all of these derivatives to zero. This gives us a system of equations, which we then solve simultaneously to find the values of x, y, z, ... and λ that satisfy the conditions. Here’s what those partial derivatives look like:

  1. ∂L/∂x = ∂f/∂x - λ * ∂g/∂x = 0
  2. ∂L/∂y = ∂f/∂y - λ * ∂g/∂y = 0
  3. ∂L/∂z = ∂f/∂z - λ * ∂g/∂z = 0
  4. …and so on for any other variables.
  5. ∂L/∂λ = -(g(x, y, z, ...) - c) = 0 , which simplifies back to our original constraint: g(x, y, z, ...) = c .

Notice that setting the partial derivative with respect to λ to zero simply recovers our original constraint equation. This is a crucial check! The other equations essentially enforce the condition that the gradient of f is parallel to the gradient of g at the optimal point. Solving this system of equations can sometimes be the trickiest part, often involving algebraic manipulation or substitution. Once you find the (x, y, z, ...) values, you plug them back into your original objective function f to find the optimal value. It’s a systematic approach that transforms a constrained problem into an unconstrained one (optimizing L), making it solvable with standard calculus techniques. This mathematical framework is robust and forms the bedrock for solving a wide array of optimization challenges across various disciplines, proving just how versatile and powerful Lagrange Multipliers truly are when applied correctly.

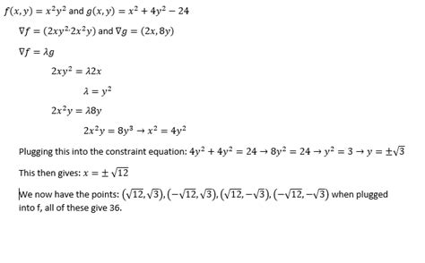
A Practical Example: Optimizing a Box Volume

Let’s roll up our sleeves and tackle a classic example to really nail down how Lagrange Multipliers work in practice. Imagine you’re a packaging designer, and you need to build an open-top rectangular box with a fixed surface area (let’s say 108 square units) of material. Your goal, of course, is to maximize the volume of this box. This is a perfect constrained optimization problem for our handy Lagrange Multipliers ! Let the dimensions of the box be x , y , and z for length, width, and height, respectively. Since it’s an open-top box, the surface area A will be the base xy plus the four sides 2xz + 2yz . Our objective function, f(x, y, z) , which we want to maximize, is the volume of the box: f(x, y, z) = xyz . Our constraint function, g(x, y, z) , is the fixed surface area: g(x, y, z) = xy + 2xz + 2yz = 108 . Following our steps, the first thing we do is set up the Lagrangian function: L(x, y, z, λ) = xyz - λ(xy + 2xz + 2yz - 108) . Now, the fun begins! We take the partial derivatives of L with respect to x , y , z , and λ , and set them all to zero:

  1. ∂L/∂x = yz - λ(y + 2z) = 0 (Equation 1)
  2. ∂L/∂y = xz - λ(x + 2z) = 0 (Equation 2)
  3. ∂L/∂z = xy - λ(2x + 2y) = 0 (Equation 3)
  4. ∂L/∂λ = -(xy + 2xz + 2yz - 108) = 0 (Equation 4, which means xy + 2xz + 2yz = 108 )

Now, solving this system of equations is where the algebra comes in. From (1), yz = λ(y + 2z) . From (2), xz = λ(x + 2z) . If we divide Equation 1 by Equation 2 (assuming x, y, z, λ are non-zero, which they must be for a box), we get yz / xz = (y + 2z) / (x + 2z) , which simplifies to y / x = (y + 2z) / (x + 2z) . Cross-multiplying gives y(x + 2z) = x(y + 2z) , so xy + 2yz = xy + 2xz . This simplifies further to 2yz = 2xz , meaning y = x . Aha! We’ve found a relationship between x and y . Now let’s use Equation 3: xy = λ(2x + 2y) . Since y = x , we can substitute x for y : x*x = λ(2x + 2x) , so x^2 = λ(4x) . This gives us x = 4λ (assuming x is not zero). From Equation 1, since y=x , xz - λ(x + 2z) = 0 . Substitute x = 4λ and y=x : (4λ)z - λ((4λ) + 2z) = 0 . Divide by λ (again, assuming λ is not zero): 4z - (4λ + 2z) = 0 . So, 4z - 4λ - 2z = 0 , which means 2z = 4λ . Therefore, z = 2λ . Now we have x = 4λ , y = 4λ (since y=x ), and z = 2λ . We can express x and y in terms of z : x = 2z and y = 2z . Finally, plug these relationships back into our constraint equation (Equation 4): (2z)(2z) + 2(2z)z + 2(2z)z = 108 . This simplifies to 4z^2 + 4z^2 + 4z^2 = 108 , so 12z^2 = 108 . Dividing by 12, we get z^2 = 9 , so z = 3 (since dimensions must be positive). With z = 3 , we find x = 2z = 2(3) = 6 and y = 2z = 2(3) = 6 . So, the dimensions of the box that maximize volume with a surface area of 108 are 6 x 6 x 3 . The maximum volume would then be V = xyz = 6 * 6 * 3 = 108 cubic units. This example clearly demonstrates how Lagrange Multipliers systematically lead us to the optimal dimensions under a specific constraint, making it a powerful tool for practical design and optimization challenges. Without it, finding these specific dimensions could be a much more arduous trial-and-error process, highlighting the real value of this mathematical technique in concrete scenarios.

Beyond the Basics: Multiple Constraints and Advanced Insights

Alright, guys, we’ve tackled the single-constraint scenario, but what happens when life throws more than one limitation your way? Fear not, because Lagrange Multipliers are robust enough to handle multiple constraints too! The beauty of this method is that it extends quite naturally. If you have an objective function f(x, y, z, ...) and multiple constraints, say g1(x, y, z, ...) = c1 and g2(x, y, z, ...) = c2 , you simply introduce a separate Lagrange multiplier for each constraint. So, your new Lagrangian function would look something like this: L(x, y, z, ..., λ1, λ2) = f(x, y, z, ...) - λ1 * (g1(x, y, z, ...) - c1) - λ2 * (g2(x, y, z, ...) - c2) . See? We just added another λ term for the second constraint. The process remains the same: take partial derivatives with respect to all original variables ( x, y, z, ... ) and each Lagrange multiplier ( λ1, λ2, ... ), and set them all to zero. This will give you an even larger system of equations to solve, but the underlying principle of finding points where the gradients are linearly dependent remains consistent. This multi-constraint capability makes Lagrange Multipliers incredibly versatile for complex real-world optimization problems . For example, in economics, you might want to maximize utility subject to both a budget constraint and a time constraint. In engineering, you might optimize a design for strength while simultaneously adhering to weight and size limitations. These scenarios are common, and the ability of Lagrange Multipliers to provide a systematic approach to solving them is invaluable. Speaking of real-world applications, these multipliers are everywhere! In machine learning, they underpin algorithms like Support Vector Machines (SVMs), where the goal is to find an optimal separating hyperplane while minimizing classification errors under certain conditions. In finance, they help in portfolio optimization, balancing risk and return while meeting specific investment goals. In physics, they’re used to derive equations of motion for systems with constraints. Beyond just finding the optimal x, y, z values, the values of λ themselves offer crucial insights. Each Lagrange Multiplier ( λ ) tells you the sensitivity of the optimal value of your objective function to a small change in its corresponding constraint. This is often called the “shadow price” in economics, representing the marginal value of relaxing a constraint by one unit. This information is incredibly powerful for decision-making, as it quantifies the impact of modifying your limitations. For even more advanced scenarios, especially those involving inequality constraints ( g(x,y) ≤ c ), the framework extends into what are known as the Karush-Kuhn-Tucker (KKT) conditions. While beyond the scope of a basic introduction, KKT conditions build directly on the principles of Lagrange Multipliers , providing a generalized set of necessary conditions for optimality in nonlinear programming. So, as you can see, mastering the basics of Lagrange Multipliers isn’t just a party trick; it’s a foundational skill that opens doors to understanding and solving incredibly sophisticated problems across a multitude of disciplines.

Why Should You Care About Lagrange Multipliers?

So, after all this talk about gradients, partial derivatives, and building boxes, you might be asking yourself, “Why should I care about Lagrange Multipliers ?” Well, let me tell you, guys, the reasons are pretty compelling! First and foremost, understanding Lagrange Multipliers equips you with a powerful tool for solving a vast array of practical optimization problems that have real-world constraints. Whether you’re trying to design the most efficient engine, allocate resources optimally in a business, predict stock market trends, or even train cutting-edge AI models, the principle of constrained optimization is almost always at play. This isn’t just abstract math; it’s the underlying logic behind many sophisticated real-world decision-making processes. Secondly, it sharpens your analytical thinking. The process of setting up the Lagrangian, taking derivatives, and solving systems of equations forces you to think systematically and critically about how different variables and constraints interact. This kind of problem-solving skill is incredibly valuable, regardless of your field. Thirdly, the concept of the Lagrange multiplier itself (that λ value) provides more than just an optimal point; it gives you insight into the sensitivity of your solution. Knowing how much your optimal outcome changes if you slightly adjust a constraint is gold. It helps you understand the true cost or benefit of your limitations and informs better strategic decisions. Finally, mastering this concept opens doors to understanding more advanced mathematical and computational techniques. As we briefly touched upon, it’s a stepping stone to KKT conditions and plays a vital role in the theoretical underpinnings of many algorithms in fields like operations research, machine learning, and control theory. So, whether you’re a budding engineer, an aspiring economist, a data scientist, or just someone who loves solving puzzles, getting a grip on Lagrange Multipliers is a wise investment in your intellectual toolkit. It’s about seeing the world not just as it is, but as it could be if optimized, and having the mathematical prowess to make that happen within given boundaries. Keep practicing, keep exploring, and you’ll find that these multipliers unlock a whole new dimension of problem-solving for you! Now go forth and optimize, my friends!