Master Vascak: Solved Practice Problems & Examples

D.Tomfoolerylondon 6 views
Master Vascak: Solved Practice Problems & Examples

Master Vascak: Solved Practice Problems & Examples

Introduction to Conquering Vascak Practice Problems

Hey guys, ever felt like you’re wrestling with a particularly tricky subject, maybe physics, math, or even a programming concept, and you just need that extra push to really get it? Well, chances are you’ve come across, or are about to dive into, Vascak practice problems . These aren’t just any ordinary exercises; they’re often revered (and sometimes feared!) as a cornerstone for deep understanding and mastery in various academic fields, especially when it comes to applying theoretical knowledge to real-world scenarios . Many students, just like you, find that working through these Vascak examples is the ultimate test of their grasp on complex topics. Our goal here, my friends, is to not just solve them, but to truly master Vascak – to understand the ‘why’ behind the ‘how’, turning those head-scratching moments into satisfying ‘aha!’ experiences. We’re going to break down what makes these problems so effective, how to approach them strategically, and even peek into some solved Vascak practice problems to give you a clearer path forward. This isn’t about memorizing solutions; it’s about building a solid foundation, sharpening your problem-solving skills, and boosting your confidence. So, whether you’re grappling with intricate physics equations, deciphering complex mathematical proofs, or trying to debug your code, these Vascak examples are your golden ticket to truly excelling. We’ll explore why consistent engagement with these specific problem sets is crucial for long-term retention and the development of critical thinking. Think of this article as your friendly guide, a trusty companion on your journey to making those challenging Vascak problems feel a whole lot less daunting and a lot more like exciting puzzles waiting to be solved. Let’s get ready to transform your approach and elevate your understanding, making those tough concepts not just manageable, but genuinely enjoyable to tackle. Remember, every master was once a beginner, and with the right mindset and strategies, you’ll be solving Vascak problems like a pro in no time, building robust analytical skills that will serve you well beyond just your current studies.

Understanding What Makes Vascak Practice Problems Unique

When we talk about Vascak practice problems , we’re not just referring to a random collection of exercises. These Vascak examples are often characterized by their depth, complexity, and the way they demand a thorough understanding of underlying principles rather than mere rote memorization. What sets Vascak problems apart is their ability to push you beyond the surface level, forcing you to connect different concepts, apply multiple formulas, and think critically about the problem’s context. For many, solving Vascak problems becomes a rite of passage, a true measure of whether they’ve truly grasped the subject matter. They often involve multi-step solutions, requiring students to synthesize information from various parts of a curriculum, which is incredibly valuable for developing comprehensive knowledge. These Vascak examples are designed to simulate the kind of complex challenges you might encounter in advanced coursework or even real-world professional scenarios, making them an invaluable resource for anyone serious about mastering their field. Unlike simpler textbook problems that might focus on a single concept in isolation, Vascak practice problems typically weave together several ideas, demanding a holistic approach. This approach not only strengthens your understanding of individual topics but also enhances your ability to see the bigger picture and how different components interact. For instance, in physics, a Vascak problem might combine mechanics, thermodynamics, and electromagnetism in a single scenario, requiring you to recall and apply principles from each area. In mathematics, they might involve intricate proofs or multi-variable calculations that test your logical reasoning and computational precision. The benefits of working through Vascak examples are immense; they build resilience, improve analytical thinking, and foster a deeper appreciation for the subject. They help you identify gaps in your knowledge, prompting you to revisit foundational concepts and solidify your understanding. Engaging with these problems consistently helps to cultivate a problem-solving mindset that transcends academic boundaries, preparing you for future intellectual challenges. So, when you encounter these Vascak problems , see them not as obstacles, but as opportunities to truly solidify your expertise and emerge with a far more robust and nuanced understanding of your subject area. They’re tough, no doubt, but the payoff in terms of knowledge and confidence is absolutely worth the effort.

Strategies for Tackling Vascak Examples Effectively

Alright, now that we know what Vascak practice problems are and why they’re so crucial, let’s talk strategy. Approaching Vascak examples without a game plan can feel like wandering in a maze, but with the right techniques, you can navigate them like a pro. The key to solving Vascak problems lies in a systematic and patient approach, rather than just jumping straight to calculations. This structured thinking will not only help you solve the current problem but will also build a robust framework for tackling future Vascak challenges . First things first, guys,

Preparation is Key

Before you even look at a Vascak problem , make sure your foundation is rock-solid. Review the relevant theory, definitions, and formulas thoroughly. If you’re working on physics Vascak examples , ensure you understand the concepts of force, energy, momentum, and their interrelationships. For math Vascak practice problems , brush up on calculus, linear algebra, or whatever specific area the problem pertains to. Don’t be afraid to revisit your notes or textbook chapters. A strong theoretical understanding makes identifying the correct approach to solving Vascak problems much easier. Think of it as gearing up before a big adventure; you wouldn’t go hiking without the right equipment, right? The same applies to these challenging problems. Ensure you’ve internalized the core principles, as Vascak problems often test your ability to apply these fundamentals in complex, unconventional ways. This initial groundwork is paramount to your success and will save you a lot of frustration down the line.

Deconstruct the Problem

This is a critical step when working through Vascak examples . Don’t just read the problem once and start scribbling. Read it carefully, multiple times if necessary. Identify all the given information – write it down! What are the known variables? What are the unknown quantities you need to find? What are the units involved? Sometimes, a Vascak problem might include superfluous information to distract you, so learn to discern what’s relevant. Draw diagrams or sketches if applicable; visualization can often simplify complex scenarios. For instance, in a physics Vascak practice problem , drawing free-body diagrams or vector components can make a huge difference. In a math problem, graphing functions or sketching geometric shapes can clarify the relationships. Understanding what the problem is truly asking is half the battle won, and it’s a skill that will profoundly improve your overall problem-solving abilities when dealing with any Vascak problem .

Step-by-Step Approach

Once you’ve deconstructed the Vascak problem , break it down into smaller, manageable steps. Resist the urge to solve everything at once. Vascak examples are rarely straightforward one-step questions. Think about the logical sequence required. What do you need to find first to get to the next piece of the puzzle? What formulas or principles are applicable at each stage? Write down your steps clearly, even if it’s just a mental outline. This methodical approach is particularly effective for complex Vascak practice problems . It allows you to focus on one small part at a time, reducing cognitive overload and making the overall task less intimidating. If you get stuck on one step, you can review just that part without losing track of the entire solution. This systematic progression is essential for accurately solving Vascak problems and building a coherent solution.

Don’t Fear Failure and Learn from Mistakes

It’s perfectly normal to get stuck or make mistakes when solving Vascak problems . In fact, it’s an integral part of the learning process . Don’t get discouraged! When you hit a roadblock, review your work. Can you identify where you went wrong? Was it a conceptual error, a mathematical mistake, or a misinterpretation of the Vascak example ? Use your mistakes as learning opportunities. Go back to the theory, consult solutions (if available, after you’ve given it your best shot), and understand why the correct approach works. This reflective practice is what truly builds mastery. Discussing challenging Vascak practice problems with peers or instructors can also provide fresh perspectives and insights. Remember, every error is a step closer to understanding, making you better equipped for the next Vascak problem you encounter. The resilience built through persevering with these tough Vascak examples will serve you well in all aspects of your academic and professional life.

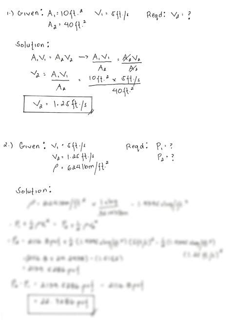
Solved Vascak Practice Problems: A Glimpse into Mastery

Let’s be real, guys, sometimes just talking about strategies isn’t enough. We need to see them in action! While I can’t pull a specific Vascak practice problem out of thin air without knowing your exact curriculum, I can walk you through the thought process of approaching and solving a typical Vascak-style challenge . Imagine a scenario where a Vascak example presents a seemingly complex physics problem: _